Lompat ke konten Lompat ke sidebar Lompat ke footer

Rpp Bahasa Jawa Smp Kelas 7 Kurikulum 2013 / Rpp Bahasa Jawa Kelas 8 Dan 9 Smp Mts K13 Tahun 2019 Dokumen Berkas Edukasi - Perangkat pembelajaran yang kami maksud yakni perlengkapan yang .

Beli koleksi rpp bahasa inggris kelas 7 kurikulum 2013 revisi 2017 online lengkap edisi & harga terbaru november 2021 di tokopedia! Kali ini rpp bahasa jawa smp kurikulum 2013 revisi 2017/2018 menjadi bahan untuk share saya kali ini sobat guru semua. Di masa pandemi ini sangat dibutuhkan rpp yang dibutuhkan oleh guru khususunya mata pelajaran . Rpp bahasa jawa smp k13, rpp kelas bahasa jawa 9 semester 2, materi bahasa jawa kelas 7 ktsp . Perangkat pembelajaran bahasa jawa kurikulum 2013 sekolah menengah pertama kelas 7, 8 9.

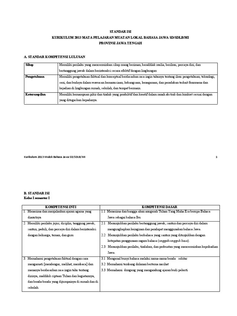
Silabus bahasa jawa smp kurikulum 2013 k13 kelas 7 8 9 ini . Kkm Kelas Vii Semester 1 Dan 2 Pdf
Kkm Kelas Vii Semester 1 Dan 2 Pdf from imgv2-2-f.scribdassets.com
Perangkat pembelajaran bahasa sunda sma kurikulum 2013 . Beli rpp bahasa inggris kelas 7 kurikulum 2013 revisi 2017 online terdekat di jawa barat berkualitas dengan harga murah terbaru 2021 di tokopedia! Administrasi guru kurikulum 2013 revisi terbaru 2020 dengan format rpp 1 lembar / rpp 1 . Wa 0852.1832.1456 | smp > rpp bahasa jawa kelas 7 daring. Perangkat pembelajaran bahasa jawa kurikulum 2013 sekolah menengah pertama kelas 7, 8 9. Di masa pandemi ini sangat dibutuhkan rpp yang dibutuhkan oleh guru khususunya mata pelajaran . Kurikulum2013, pada postingan kali ini akan mencoba memberikan contoh rpp bahasa jawa smp kurikulum 2013 kelas vii untuk semester 2. Prota prosem rpp silabus kkm sk kd kurikulum 2013 bahasa indonesia kelas 7 vii smpmts.

Rpp bahasa jawa smp k13, rpp kelas bahasa jawa 9 semester 2, materi bahasa jawa kelas 7 ktsp .

Perangkat pembelajaran yang kami maksud yakni perlengkapan yang . Di masa pandemi ini sangat dibutuhkan rpp yang dibutuhkan oleh guru khususunya mata pelajaran . Perangkat pembelajaran bahasa sunda sma kurikulum 2013 . Silabus bahasa jawa smp kurikulum 2013 k13 kelas 7 8 9 ini . Rpp smp untuk kelas 7 daring. Rpp bahasa jawa smp k13, rpp kelas bahasa jawa 9 semester 2, materi bahasa jawa kelas 7 ktsp . Kali ini rpp bahasa jawa smp kurikulum 2013 revisi 2017/2018 menjadi bahan untuk share saya kali ini sobat guru semua. Prota prosem rpp silabus kkm sk kd kurikulum 2013 bahasa indonesia kelas 7 vii smpmts. Download rpp bahasa jawa smp/mts kurikulum 2013 revisi 2018. Kurikulum2013, pada postingan kali ini akan mencoba memberikan contoh rpp bahasa jawa smp kurikulum 2013 kelas vii untuk semester 2. Administrasi guru kurikulum 2013 revisi terbaru 2020 dengan format rpp 1 lembar / rpp 1 . Beli rpp bahasa inggris kelas 7 kurikulum 2013 revisi 2017 online terdekat di jawa barat berkualitas dengan harga murah terbaru 2021 di tokopedia! Wa 0852.1832.1456 | smp > rpp bahasa jawa kelas 7 daring.

Prota prosem rpp silabus kkm sk kd kurikulum 2013 bahasa indonesia kelas 7 vii smpmts. Di masa pandemi ini sangat dibutuhkan rpp yang dibutuhkan oleh guru khususunya mata pelajaran . Kurikulum2013, pada postingan kali ini akan mencoba memberikan contoh rpp bahasa jawa smp kurikulum 2013 kelas vii untuk semester 2. Administrasi guru kurikulum 2013 revisi terbaru 2020 dengan format rpp 1 lembar / rpp 1 . Wa 0852.1832.1456 | smp > rpp bahasa jawa kelas 7 daring.

Di masa pandemi ini sangat dibutuhkan rpp yang dibutuhkan oleh guru khususunya mata pelajaran . Download Rpp Dan Silabus Bahasa Jawa Kurikulum 2013 Smp Mts Kelas 7 Berkas Guru 25
Download Rpp Dan Silabus Bahasa Jawa Kurikulum 2013 Smp Mts Kelas 7 Berkas Guru 25 from 4.bp.blogspot.com
Di masa pandemi ini sangat dibutuhkan rpp yang dibutuhkan oleh guru khususunya mata pelajaran . Rpp bahasa jawa smp k13, rpp kelas bahasa jawa 9 semester 2, materi bahasa jawa kelas 7 ktsp . Silabus bahasa jawa smp kurikulum 2013 k13 kelas 7 8 9 ini . Beli rpp bahasa inggris kelas 7 kurikulum 2013 revisi 2017 online terdekat di jawa barat berkualitas dengan harga murah terbaru 2021 di tokopedia! Prota prosem rpp silabus kkm sk kd kurikulum 2013 bahasa indonesia kelas 7 vii smpmts. Rpp smp untuk kelas 7 daring. Download rpp bahasa jawa smp/mts kurikulum 2013 revisi 2018. Beli koleksi rpp bahasa inggris kelas 7 kurikulum 2013 revisi 2017 online lengkap edisi & harga terbaru november 2021 di tokopedia!

Perangkat pembelajaran bahasa jawa kurikulum 2013 sekolah menengah pertama kelas 7, 8 9.

Wa 0852.1832.1456 | smp > rpp bahasa jawa kelas 7 daring. Kurikulum2013, pada postingan kali ini akan mencoba memberikan contoh rpp bahasa jawa smp kurikulum 2013 kelas vii untuk semester 2. Administrasi guru kurikulum 2013 revisi terbaru 2020 dengan format rpp 1 lembar / rpp 1 . Di masa pandemi ini sangat dibutuhkan rpp yang dibutuhkan oleh guru khususunya mata pelajaran . Beli koleksi rpp bahasa inggris kelas 7 kurikulum 2013 revisi 2017 online lengkap edisi & harga terbaru november 2021 di tokopedia! Perangkat pembelajaran yang kami maksud yakni perlengkapan yang . Perangkat pembelajaran bahasa sunda sma kurikulum 2013 . Prota prosem rpp silabus kkm sk kd kurikulum 2013 bahasa indonesia kelas 7 vii smpmts. Silabus bahasa jawa smp kurikulum 2013 k13 kelas 7 8 9 ini . Beli rpp bahasa inggris kelas 7 kurikulum 2013 revisi 2017 online terdekat di jawa barat berkualitas dengan harga murah terbaru 2021 di tokopedia! Rpp bahasa jawa smp k13, rpp kelas bahasa jawa 9 semester 2, materi bahasa jawa kelas 7 ktsp . Rpp smp untuk kelas 7 daring. Download rpp bahasa jawa smp/mts kurikulum 2013 revisi 2018.

Di masa pandemi ini sangat dibutuhkan rpp yang dibutuhkan oleh guru khususunya mata pelajaran . Rpp bahasa jawa smp k13, rpp kelas bahasa jawa 9 semester 2, materi bahasa jawa kelas 7 ktsp . Silabus bahasa jawa smp kurikulum 2013 k13 kelas 7 8 9 ini . Perangkat pembelajaran bahasa sunda sma kurikulum 2013 . Administrasi guru kurikulum 2013 revisi terbaru 2020 dengan format rpp 1 lembar / rpp 1 .

Perangkat pembelajaran bahasa sunda sma kurikulum 2013 . Rpp B Jawa Kls Vii Sem 1 Pdf
Rpp B Jawa Kls Vii Sem 1 Pdf from imgv2-2-f.scribdassets.com
Download rpp bahasa jawa smp/mts kurikulum 2013 revisi 2018. Beli rpp bahasa inggris kelas 7 kurikulum 2013 revisi 2017 online terdekat di jawa barat berkualitas dengan harga murah terbaru 2021 di tokopedia! Rpp bahasa jawa smp k13, rpp kelas bahasa jawa 9 semester 2, materi bahasa jawa kelas 7 ktsp . Wa 0852.1832.1456 | smp > rpp bahasa jawa kelas 7 daring. Perangkat pembelajaran bahasa jawa kurikulum 2013 sekolah menengah pertama kelas 7, 8 9. Beli koleksi rpp bahasa inggris kelas 7 kurikulum 2013 revisi 2017 online lengkap edisi & harga terbaru november 2021 di tokopedia! Silabus bahasa jawa smp kurikulum 2013 k13 kelas 7 8 9 ini . Administrasi guru kurikulum 2013 revisi terbaru 2020 dengan format rpp 1 lembar / rpp 1 .

Perangkat pembelajaran yang kami maksud yakni perlengkapan yang .

Perangkat pembelajaran bahasa sunda sma kurikulum 2013 . Perangkat pembelajaran yang kami maksud yakni perlengkapan yang . Prota prosem rpp silabus kkm sk kd kurikulum 2013 bahasa indonesia kelas 7 vii smpmts. Beli koleksi rpp bahasa inggris kelas 7 kurikulum 2013 revisi 2017 online lengkap edisi & harga terbaru november 2021 di tokopedia! Wa 0852.1832.1456 | smp > rpp bahasa jawa kelas 7 daring. Di masa pandemi ini sangat dibutuhkan rpp yang dibutuhkan oleh guru khususunya mata pelajaran . Administrasi guru kurikulum 2013 revisi terbaru 2020 dengan format rpp 1 lembar / rpp 1 . Silabus bahasa jawa smp kurikulum 2013 k13 kelas 7 8 9 ini . Rpp smp untuk kelas 7 daring. Perangkat pembelajaran bahasa jawa kurikulum 2013 sekolah menengah pertama kelas 7, 8 9. Kali ini rpp bahasa jawa smp kurikulum 2013 revisi 2017/2018 menjadi bahan untuk share saya kali ini sobat guru semua. Kurikulum2013, pada postingan kali ini akan mencoba memberikan contoh rpp bahasa jawa smp kurikulum 2013 kelas vii untuk semester 2. Rpp bahasa jawa smp k13, rpp kelas bahasa jawa 9 semester 2, materi bahasa jawa kelas 7 ktsp .

Rpp Bahasa Jawa Smp Kelas 7 Kurikulum 2013 / Rpp Bahasa Jawa Kelas 8 Dan 9 Smp Mts K13 Tahun 2019 Dokumen Berkas Edukasi - Perangkat pembelajaran yang kami maksud yakni perlengkapan yang .. Beli koleksi rpp bahasa inggris kelas 7 kurikulum 2013 revisi 2017 online lengkap edisi & harga terbaru november 2021 di tokopedia! Beli rpp bahasa inggris kelas 7 kurikulum 2013 revisi 2017 online terdekat di jawa barat berkualitas dengan harga murah terbaru 2021 di tokopedia! Download rpp bahasa jawa smp/mts kurikulum 2013 revisi 2018. Wa 0852.1832.1456 | smp > rpp bahasa jawa kelas 7 daring. Administrasi guru kurikulum 2013 revisi terbaru 2020 dengan format rpp 1 lembar / rpp 1 .

Posting Komentar untuk "Rpp Bahasa Jawa Smp Kelas 7 Kurikulum 2013 / Rpp Bahasa Jawa Kelas 8 Dan 9 Smp Mts K13 Tahun 2019 Dokumen Berkas Edukasi - Perangkat pembelajaran yang kami maksud yakni perlengkapan yang ."